LISTA funcțiilor de lux de la stat din Alba. Șefi puși politic cu un venit lunar de peste 17.700 lei
Directori și angajați ai unor șefi de instituții publice din Alba, cu venituri de bază lunare de peste 17700 de lei, sporuri de 85%, și consilieri la stat care duc acasă lunar mai mult decât managerii unor firme private, reprezintă doar câteva elemente ale unui puzzle controversat: cât câștigă angajații la stat. Dacă ținem seamă și de faptul că majoritatea acestor șefi de instituții sunt recomandați de partidul din care fac parte și nu de performanțe deosebite, tabloul este și mai corect.
De menționat că există și instituții care nu au publicat aceste informații, sau au făcut-o formal, fără să ofere informații reale. Instituții care ar fi trebuit să respecte spiritul, dar și litera legii, au făcut-o șmecherește: Inspectoratul Județean de Poliției Alba și Inspectoratul Județean de Jandarmerie Alba, și-au publicat un fel de top: cel mai mare și cel mai mic venit, nu veniturile aferente fiecărei funcții, cum ar fi fost normal. Alte instituții nu și-au publicat deloc aceste informații. ITM Alba poate aplica amenzi în acest caz, însă directorul instituției ne-a spus că nu este în programul său de activități ”așa ceva”.
Listele cu veniturile angajaților fiecărei instituții trebuie publicate de două ori pe an, respectiv în 30 martie și 30 septembrie. Instituțiile publice din județul Alba ar fi trebuit să facă publice, până în data de 30 septembrie, lista cu salariile angajaților, în raport cu funcțiile pe care le ocupă. În caz contrar, Inspectoratul Teritorial de Muncă Alba poate amenda conducătorul instituției cu o sumă cuprinsă între 5.000 și 10.000 de lei.
DSP - campionul salariilor din Alba
Directorul Direcției de Sănătate Publică Alba are un salariu de bază 14581 de lei, la care se adaugă sporuri de 1458 de lei, respectiv 10%. Adjunctul său ajunge și el la un salariu de bază de aproape 11.000 de lei, la care se mai adaugă 10% sporuri. Și mai bine este plătit este medicul șef de laborator, care câștigă 9596 de lei salariu de bază, plus 85% sporuri, adică încă 8157 de lei. Faceți dumneavoastră calcului, pentru că noi ne-am blocat. În total, acesta duce acasă mai mulți bani decât cel mai bine plătit primar din România, Mircea Hava. De asemenea, un șofer, angajat al instituției, câștigă 2958 de lei plus 296 sporuri (brut).
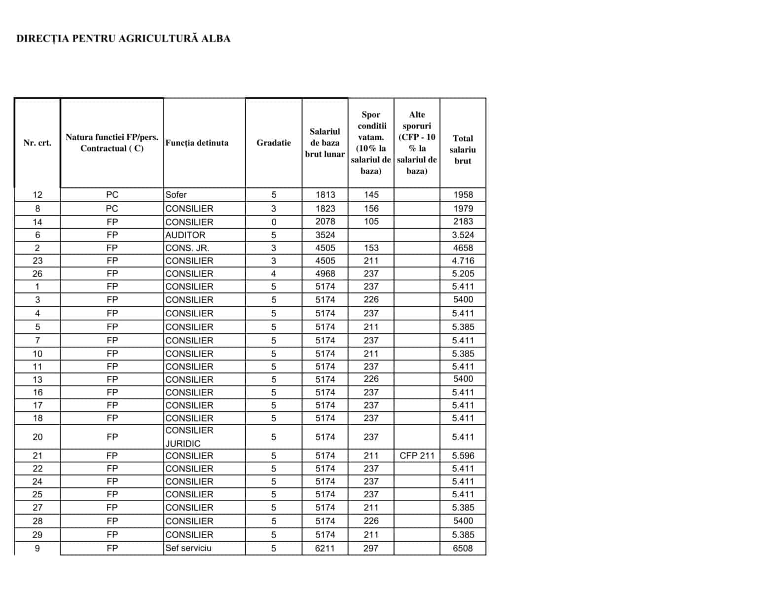
Directorul executiv al Direcției Agricole Alba, are un salariu de bază de 7207 lei, la care se adaugă un spor de condiții vătămătoare de 211 lei. Un consilier în cadrul instituției ajunge si el, cu sporuri, la peste 5.000 de lei. Șoferul direcției câștigă și el 1813 lei, venit de bază, la care se adaugă 145 de lei spor de condiții vătămătoare.
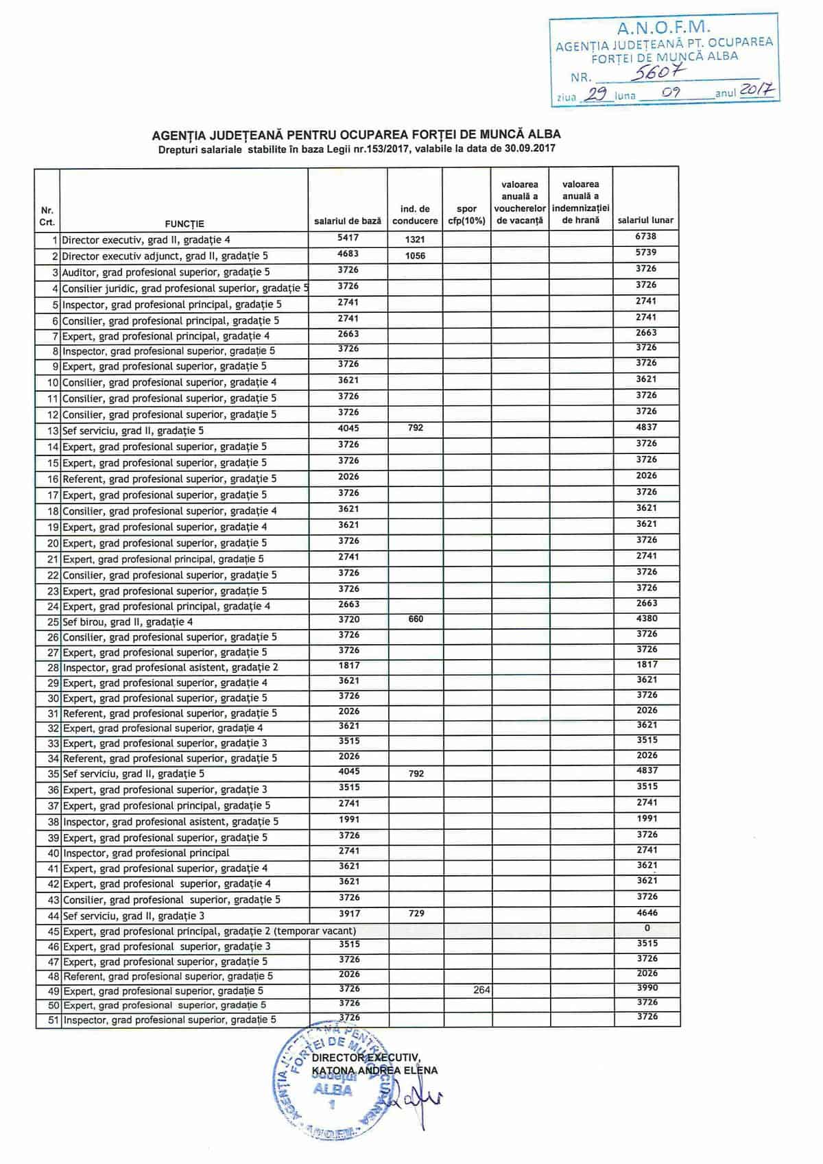
Agenția Județeană pentru Ocuparea Funcției de Muncă Alba le găsește de lucru, cel puțin teoretic, celor care nu au. Ar fi însă foarte greu să îi îndrume pe șomeri spre slujbe în domeniul privat, unde să câștige ”măcar” cât se câștigă în instituția respectivă. Directorul executiv are un salariu de bază de 5417 lei, la care se adaugă o indemnizație de conducere de 1321 de lei. În total, ajunge la 6738 de lei. Mai aproape de lumea reală este salariul de bază al unui inspector asistent (gradație 5), respectiv 1991 de lei.
Inspectoratul Teritorial de Muncă Alba a publicat lista cu veniturile angajaților. Inspectorul șef are uin salariu de bază de 6551 de lei, iar inspectorii de muncă între 3600 și puțin peste 4000. Instituția este cea care trebuie să verifice dacă celelalte autorități publice și-au publicat salariile aferente funcțiilor și, în caz contrar, să-i amendeze pe conducători cu sume cuprinse între 5000 și 10000 de lei.
Direcția Sanitar Veterinară Alba a publicat veniturile salariaților, mai puțin acela al directorului. Regăsim în schimb informația că directorul adjunct are un venit de bază de 9924 de lei iar un șef de serviciu 9754, la care se adaugă un spor de doctorat de 725 de lei.
La Agenția pentru Protecția Mediului, directorul instituției câștigă lunar 4931 de lei (brut), la care se adaugă 493 de lei, sporuri.
Siteul Casei Județeane de Pensii nu funcționează, după ce în urmă cu aproximativ 2 săptămâni a fost spart și cineva a postat pe el imagini deochiate. Instituția nu și-a publicat declarațiile nici în alt loc. O altă instituție, Direcția Județeană pentru Tineret și Sport Alba, nu a publicat informațiile prevăzute de lege.
IPJ și IJJ, informația unde e?
Inspectoratul Județean de Poliție Alba, a decis că respectă legea publicând pur și simplu un tabel cu minimul și maximul veniturilor salariale nete, achitate personalului în luna iulie. Nici vorbă de veniturile aferente fiecărei funcții din cadrul aparatului. Personalul contractual angajat al instituției câștigă minim 1099 lei și maxim 2099 de lei. Funcționarii publici angajați ai instituției pot câștiga până la 3683 de lei, iar ofițerii de poliție până la 5096 de lei. Potrivit informațiilor furnizate câștigă minim 1829 de lei și maxim 4651 de lei. Instituția nu precizează care sunt funcțiile din instituție și câți bani revin fiecăreia. De asemenea, nu se vorbește despre sporuri.
Informația postată reprezintă de fapt praf în ochii curioșilor, printre care suntem și noi, dar sunteți si dumneavoastră, cei care citiți acest articol.
Aceeași metodă a adoptat-o și Inspectoratul Județean de Jandarmerie Alba. Informațiile lipsite de conținut: venitul minim din instituție este de 920 de lei, iar maximul poate ajunge la 6228, în cazul unui ofițer cu funcție de comandă. Nu sunt informații legate de sporuri sau informații legate de fiecare funcție în parte.
Instituții care nu și-au publicat informațiile prevăzute de lege și nu vor păți nimic
Informații legate de veniturile aferente funcțiilor publice nu au fost publicate (sau, cel puțin nu în partea vizibilă) de către următoarele instituții: Inspectoratul Școlar Județean Alba, Direcția Regională de Statistică, Casa Județeană de Pensii (al cărei site nu funcționează deloc), Casa Județeană de Asigurări de Sănătate Alba, Direcția Județeană pentru Tineret și Sport Alba și alte instituții de mai mică importanță.
La APIA și la Garda de Mediu, există doar informații cu situația de la nivel central. Dacă utilizăm aceste informații, vă putem spune că la APIA, directorul general are un venit lunar de peste 11000 de lei la care se mai adaugă sporuri de aproximativ 600 de lei. La Garda de Mediu, un comisar general are un salariu de bază de peste 11500 de lei.
Instituția care are posibilitatea să-i amendeze pe conducătorii instituțiilor care nu au publicat aceste informații cu sume între 5000 și 10000 de lei, este ITM Alba. La întrebarea dacă au fost aplicate asemenea amenzi, directorul Dorel Fiț ne-a răspuns sec: ”Nu!” La insistențele noastre și la întrebarea dacă va verifica situația în viitor, acesta a adăugat că ”nu avem așa ceva în programul de activități”, după care ne-a spus ”la revedere”.
UPDATE: Inspectorul șef al Inspectoratului Școlar Județean, Marcela Dărămuș, ne-a anunțat că informațiile au fost postate pe siteul instituției și că nu le-am văzut noi. Întradevăr, nu le-am văzut. Erau pe www.isj.albanet.ro, urmând linkurile compartimente/salarizare-normare/ venituri salariale conform art 33 etc. Să revenim: inspectorul șef al IȘJ are un venit lunar de bază de 6100 de lei, la care se adaugă o gradație de merit de 1425, cu care ajunge la 7525 de lei. Un inspector școlar are, la rândul său, un salariu de bază de 4980 de lei. Există un caz în listă care beneficiază de salariu de merit de 1195 de lei, la care se adaugă spor pentru doctorat de 720 de lei, ajungând la 6900 de lei.
Tot la Inspectoratul Școlar Județean Alba există sporuri în baza Legii 490/2004, privind stimularea financiară a personalului care gestionează fonduri comunitare. Asta face ca un consilier angajat în cadrul instituției să poată ajunge la un total de 6796 de lei: 5000 de lei salariul din grilă și 1796 de lei, sporuri.
Urmariti Alba24.ro si pe Google News
Anunturi Alba24
Publica un anunt gratuitSTIREA TA — trimite foto/video la Alba24







Comentarii (4)