Starea drumurilor județene din Alba, la începutul anului 2026. Câte drumuri de pământ sau pietruite mai sunt în județ
Starea drumurilor județene din Alba. La începutul anului 2026, în Alba mai sunt 56,7 kilometri de drum județean doar pietruit. Numărul a scăzut față de 2025, când erau 94,6 kilometri de drum nemodernizat.
Drumurile județene care au infrastructură doar de pământ au ”înghețat” pe o distanță de 12,11 kilometri. Este aceeași situație ca în 2025 și 2024.
În ceea ce privește starea de viabilitate, 45,48 de kilometri de drum sunt în stare ”rea”. Alți 5,5 kilometri sunt impracticabili. La începutul anului 2025, 50de kilometri de drum erau în stare ”rea”, iar pe aceiași 5,5 kilometri era tronson de drum impracticabil.
În Alba sunt 50 de drumuri județene, cu un total de 860,721 km, din care:
- 829,521 km administrați de Consiliul Județean
- 31,2 km administrați de municipiile Alba Iulia, Aiud, Blaj, Sebeș, respectiv orașele Cugir și Ocna Mureș.
- 72,069 km administrați temporar de comunele Cetatea de Baltă, Doștat, Daia Română, Cut, Câlnic, Sântimbru, Berghin, Ciugud, Săsciori, Fărău, Bucerdea Grânoasă, Livezile, Hopârta, Vințu de Jos, Valea Lungă, Avram Iancu, Rădești, Galda de Jos, Ocna Mureș, Lopadea Nouă, Lunca Mureșului, Șpring și Gârbova
Lungimea rețelei de drumuri administrate de CJ Alba s-a modificat a urmare a măsurătorilor și predării temporare în administrarea unor consilii locale (Șpring și Gârbova).
Starea de viabilitate a drumurilor județene 2026
Din totalul drumurilor județene în Alba, starea de viabilitate la începutul anului 2026 era:
- 147,553 km – în stare foarte bună (anterior 109.939 km)
- 494,515 km – în stare bună (anterior 543,259 km)
- 136,468 km – în stare medie (anterior 122,126 km)
- 45,485 km – în stare rea (anterior 50,072 km)
- 5,5 km – în stare impracticabilă
După suprafața de rulare
- drumuri de asfalt/beton: 760,683 km – 91,7% (87,156% anul trecut)
- drumuri pietruite: 56,722 km – 6,83% (11,38% anul trecut)
- drumuri de pământ: 12,11 km – 1,45% (la fel ca anul trecut)
Tronsoanele de drum în stare rea sau impracticabile
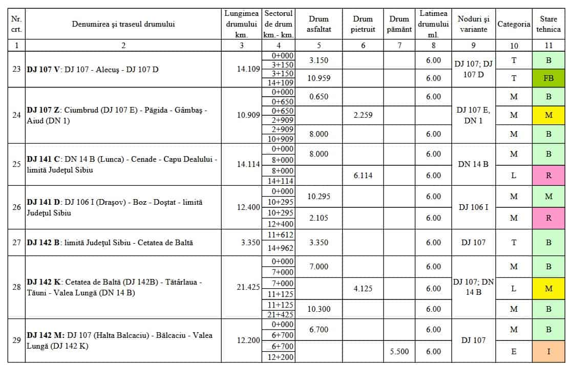
Sectorul de drum impracticabil: DJ 142 M: DJ 107 Halta Bălcaciu – Bălcaciu – Valea Lungă DJ 142 K / km 6+700 – 12+200 (5,5 km)
Sectoarele de drum județean în stare rea
- DJ 103 E: DN1 – Gârbova de Jos – Gârbovița – Gârbova de Sus: km 7+540 – 9+390 (1,85 km drum de pământ)
- DJ 106K: Sebeș (DN1) – Daia Română – Ohaba – Secășel – DJ 107: km 12+210-13+000 (0,79 km drum pietruit)
- DJ 107 G: DJ 107 D (Ocna Mureş) - Noşlac - Căptălan -Copand - Stâna de Mureş - Găbud - limită Judeţul Mureş/ km 1+100-3+909 (2,809 km drum asfaltat)
- DJ 141 C: DN 14 B (Lunca) - Cenade - Capu Dealului - limită Judeţul Sibiu/ km 8-14+114 (6,114 km drum pietruit)
- DJ 141 D: DJ 106 I Drașov – Boz – Doștat – limită județ Sibiu: km 10+295 – 12+400 (2,11 km drum asfaltat)
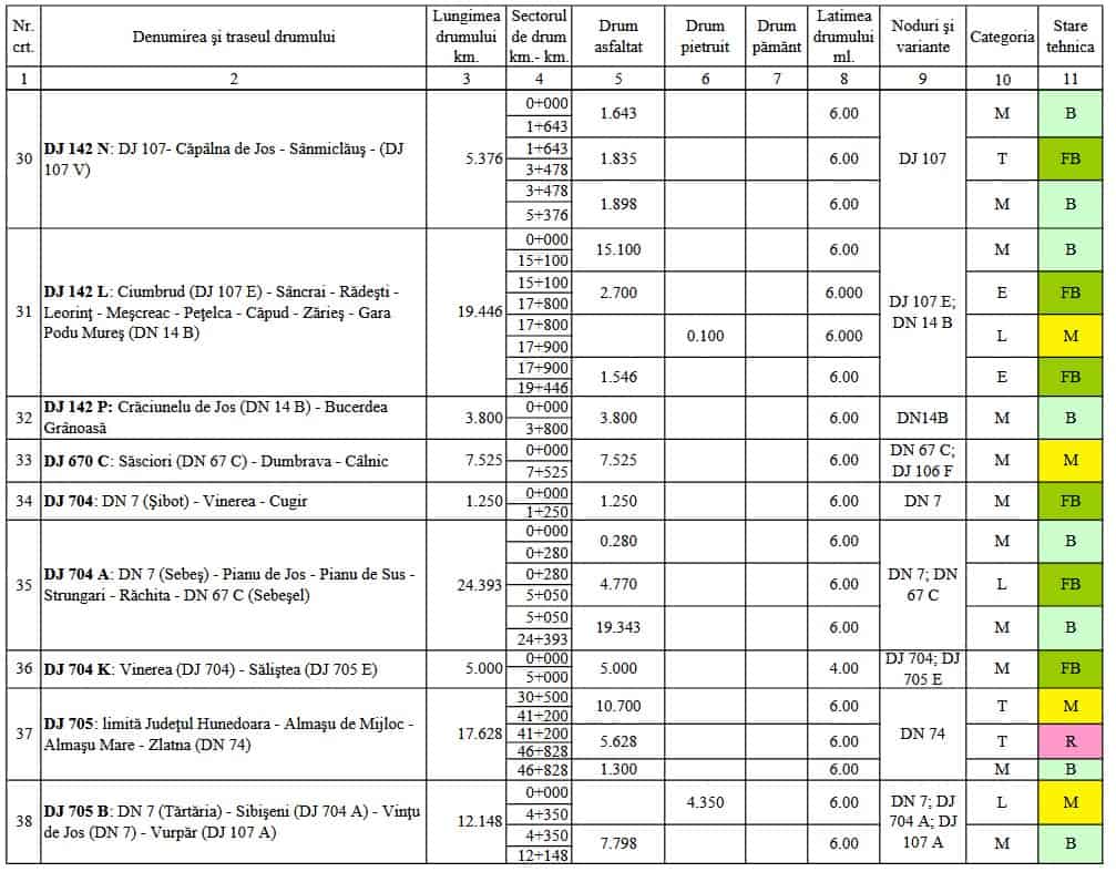
- DJ 705: limită județ HD – Almașu de Mijloc – Almașu Mare – Zlatna DN 74: km 41+200 – 46+828 (5,62 km drum asfaltat)
- DJ 705 D: limită Judeţul Hunedoara (km.7+700) – Cheile Cibului – Cib – Glod – Nădăştia – Almaşu Mare – limită Judeţul Hunedoara (km.33+100): km 23-26+666 (3,66 km drum pietruit)
- DJ 742: Gura Roşiei (DN 74 A) – Iacobeşti – Ignăţeşti – Balmoşeşti – Roşia Montană/ km 6+400-9+660 (3,26 km drum pietruit)
- DJ 750 C: Sălciua de Sus (DN 75) – Dealu Caselor – Valea Largă – Vale în Jos – Ponor – Râmeţ – Valea Mănăstirii – Geoagiu de Sus – Stremţ – Teiuş (DN 1)/ km 0+600 – 14+097; 26+500-32+266 (14,49 km, din care 4,766 km drum de pământ)
- DJ 762: limită Judeţul Hunedoara – Dealu Crişului – Valea Maciului – Mărteşti – Vidra – Lunca de Jos – Vârtăneşti – Burzoneşti – Mihoieşti (DN 75)/ km 40+600-46+30 (5,7 km)
Starea de viabilitate a drumurilor județene din Alba la începutul anului 2026
Urmariti Alba24.ro si pe Google News
Anunturi Alba24
Publica un anunt gratuitSTIREA TA — trimite foto/video la Alba24







Comentarii (0)